资讯中心
资讯中心
抑制开关稳压器EMI:不用滤波电路,还有什么好方法?
2022-03-10 20
对于要实现电池供电或分布式电源系统的设计人员来说,使用低压降 (LDO)稳压器还是开关稳压器往往是个问题。开关稳压器的效率相对更高,可谓是一项优势,尤其是对于电池供电产品。然而,电源中快速开关晶体管产生的EMI才是关键权衡要素——在高度集成的紧凑型设计中,EMI可能会衍生成更严重的问题。       输入和输出滤波电路可减轻EMI的影响,但会增大电路尺寸、增加成本和复杂性。新一代的集成式模块化开关稳压器解决了这些问题,这些开关稳压器可提供各种内置技术来抑制EMI,同时不影响稳压器的性能或效率。       本文简要说明了开关稳压器在便携式设计中占据的优势以及滤波电路的重要性。此外,还以  Allegro Microsystems  、Analog Devices 和Maxim Integrated的产品为例,介绍了内置EMI滤波器的开关稳压器以及用其简化功率传输的方法。  
     



什么要在便携式设计中使用开关稳压器?


效率高、功耗低(降低热管理难度)、功率密度大是选择开关稳压器而非LDO的主要原因。在大部分负载范围内,商用开关稳压器模块的效率(即输出功率/输入功率 x 100)通常约为90%至95%,远高于同等的LDO。此外,开关稳压器既能升压、降压,也可提供反相电压,因此在灵活性上也胜过LDO。

 

开关稳压器的核心是脉冲宽度调制 (PWM) 开关元件,包含一两个金属氧化物半导体场效应晶体管(MOSFET),以及与之配对的一两个电感器用于能量存储。开关稳压器的工作频率决定了单位时间内的开关循环次数,而PWM信号的占空比 (D) 决定了输出电压(根据 VOUT= D × VIN)。

 

在便携式设计中,开关稳压器的高效率虽是一项优势,却也存在不少待权衡要素,包括成本、复杂性、尺寸、负载瞬变响应慢以及低负载下的低效率(尽管正在逐步改进)。另一项主要设计挑战是应对功率晶体管开关产生的EMI。其开关动作会引起电路其他部分的电压和电流过冲,从而导致输入输出电压和电流纹波,并在开关频率处(及其倍数)产生瞬态能量尖峰。电压纹波在PWM“开启”周期结束时达到峰值(图1)。


 

图1:开关稳压器的输出电压纹波波形图显示了瞬态尖峰是EMI的主要来源。(图片来源:Analog Devices)


EMI管理策略


如需降低因稳压器功率FET开关引起的EMI,在输入和输出端添加电阻电容(R-C) 吸收电路是一种行之有效的方法。该电路有助于滤除能量尖峰,减小电压和电流纹波,从而降低 EMI。在好的设计中,输出电压为2至5V的开关电源最好能将电压纹波峰峰值降至10至50mV,并使瞬态尖峰最小化。

 

滤波电路元件的选型是一项棘手的工作,尤其是输入和输出端的大容量电容器,因为需要在元器件尺寸、成本(以及对稳压器瞬态响应和回路补偿的影响)与电压峰峰值、电流纹波和EMI抑制之间进行权衡。

 

借助基于关键公式的一些成熟技术是不错的切入点。输入电压纹波包括ΔVQ(由输入电容器放电产生)和ΔVESR(由输入电容器的等效串联电阻 (ESR) 产生)。如果已指定输入端的电压纹波最大峰峰值,分别通过公式1和公式2即可估算大容量电容器的所需输入电容 (CIN)和ESR:




            

 

其中:   ILOAD(MAX) 是最大输出电流   ΔIp-p 是电感器电流峰峰值   VIN 是输入供电电压   VOUT 是稳压器输出电压   fSW 是开关频率  
 

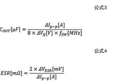
同样,如果已指定输出端的电压纹波最大峰峰值,则分别通过公式3和公式4即可确定大容量电容器的电容和ESR:




请务必注意,ΔVESR和ΔVQ不可直接相加,因为两者彼此相位相异。如果设计人员选择陶瓷电容器(ESR通常较低),则主要是ΔVQ;若选择电解电容器,则主要是ΔVESR


快速负载瞬变期间输出电压与期望输出的可接受偏差也会影响输出电容容量和ESR阻值的选择。具体而言,在开关稳压器控制器增大PWM占空比来响应负载瞬变前,输出电容器必须能够在瞬变期间支持负载电流。如需计算负载阶跃期间最小输出偏差所需的输出电容和ESR,可分别使用公式5和公式6:


 


           


其中:

ISTEP 是负载阶跃

tRESPONSE 是控制器的响应时间


这些计算虽有助于简化相应元件的选择以管理电压和电流纹波及瞬态尖峰,但设计人员仍必须考虑电容器的耗散功率 (PCAP)。计算公式如下:


 


其中 IRMS 是 RMS 输入纹波电流

 

该公式表明在给定ESR的情况下,内部温升与纹波电流的平方成正比。在用于减小较大的纹波电流时,可能会造成电容器明显发热,如果散热不及时,则电容器的电解液将逐渐蒸发,使其性能下降直至完全失效。为了避免出现这种情况,工程师必须选择表面积较大、价格更昂贵的器件以促进散热。


使用低EMI稳压器


尽管输入和输出滤波可减小电压和电流纹波,但是选择一款既符合规格,又能实现最小纹波高度峰峰值的开关稳压器才是好的设计习惯。藉此减少滤波电容器因功率耗散而产生的应力,从而使用更为小巧、便宜的器件。

 

实现最小电压和电流纹波的一种技术是采用电压模式控制方案。在此方案中,通过将控制电压施加到比较器的一个输入端,并将时钟产生的固定频率锯齿电压(或“PWM斜坡”)施加到另一输入端来生成PWM信号。相较于另一种可选的电流模式控制方案,该技术在实现EMI最小化方面性能更佳。前者更容易加剧EMI程度,因为功率级产生的噪声往往会进入控制反馈回路。(参阅Digi-Key文库文章《DC-DC开关稳压器中用于PWM信号发生的电压和电流模式控制》)

 

除了考虑采用电压模式控制外,多家芯片供应商还提供了许多方法来从内部减小电压和电流纹波的幅度。Allegro Microsystems的A8660同步降压转换器正是一个实例。这款高端器件通过了汽车AEC-Q100认证。该稳压器的输入电压 (VIN) 范围为0.3至50V,可调输出电压范围为3至45V,可编程基本频率 (fOSC) 范围为200kHz至2.2MHz。此外,A8660还提供一系列保护功能,包括在器件退出压降状态时,通过软恢复来防止VOUT过冲和电压尖峰干扰。

 

稳压器实现EMI最小化的关键在于一种称作PWM基本频率抖动的技术。启用后,内部设置的“抖动扫描”会系统地将fOSC改变±10%,从而使开关频率能量分散。抖动调制频率 (fMOD)为12kHz,以三角调制波形进行扫描。

 

在启用和禁用抖动的情况下,A8660的传导和辐射发射频谱对比如图2所示。两个测试设置采用的外部元器件和印刷电路板布局完全相同。


 

图2:使用固定基本频率(红色)的开关稳压器与采用频率抖动(蓝色)的稳压器辐射发射频谱对比。工作参数:fOSC = 2.2MHz,VIN = 12V,VOUT= 3.3V,负载 = 3A。(图片来源:Allegro Microsystems)


对于工作频率低于AM无线电频段 (fOSC < 520kHz) 的设计,A8660的同步输入可用于fOSC及其谐波的频移,以进一步降低EMI。只需将外部时钟连接至SYNCIN引脚,并将A8660的基本频率由fOSC的1.2倍增至1.5倍即可实现。

 

Analog Devices的LT8210IFE同步降压/升压控制器也具有三角频率调制方案。在这种情况下,LT8210IFE可将fSW由标称设定频率缓慢扩展至设定值的112.5%,并解扩恢复。

 

此外,该器件还具有“直通”功能可暂停开关,从而消除开关损耗以降低EMI并提高效率。该稳压器的输入范围为2.8至100V,输出为1至100V。输出电压精度为&plusmn;1.25%,反向输入保护高达-40V。

 

启用直通模式时,稳压器的降压和升压调节回路可独立运行。通过将降压调节模式预设输出电压 VOUT(BUCK) 设置成高于升压调节模式预设输出电压VOUT(BOOST),即可使用独立的误差电流来产生直通窗口。直通模式对输出电压纹波的影响如图所示(图3)。


图3:在直通模式下,即使面对高噪声输入源(红色迹线),LT8210稳压器亦可减小输出电压纹波(蓝色迹线)。(图片来源:Analog Devices)


VIN在VOUT(BOOST)与VOUT(BUCK)之间时,输出电压追踪输入电压。一旦VOUT趋近于VIN,LT8210就会进入低功耗状态(直通模式),即开关A和D持续导通,而开关B和C关断。VOUT超出VIN达到设定百分比时,开关A、C 和 D关断,直至放电使输出电压与VIN几乎相等时,才重新连接输出。如果处于(非开关)直通窗口内时输入出现正瞬变,使得VIN超出VOUT达到设定百分比,则开关将重新导通,以防电感器电流中出现较大幅度瞬时振荡。此时,输出电压将逐渐接近输入电压,方式类似于软启动,而VOUT趋近于VIN时,开关A和D将再次持续导通。开关拓扑如图4所示。


 

图4:LT8210稳压器的开关。在直通模式下,开关A和D持续导通,而开关B和C关断。(图片来源:Analog Devices)


Maxim Integrated的低EMI产品是MAX15021ATI+T降压开关稳压器。输入电压范围为2.5至5.5V,并具有两路输出,每路输出都可由0.6V调节至输入电压大小。该稳压器的基本频率范围为500kHz至4MHz,可通过单个电阻器进行调节。

 

除了支持电压模式控制方案以减小电压纹波外,MAX15021稳压器还可使用180&deg;异相时钟信号来工作(图5)。此外,该器件的开关频率可调节,最高可达4MHz,藉此可显著减小RMS输入纹波电流。而输入电流峰值的减小(纹波频率增高),使所需输入旁路电容容量减小,从而缩小所需电容器的尺寸。


 

图5:MAX15021双通道稳压器可实现180&deg;异相工作以抑制EMI。(图片来源:Maxim Integrated)


本文小结


在高效率至关重要的应用中,模块化开关稳压器是电压调节的不错选择。但是,相较于LDO等替代解决方案,权衡要素包括电压和电流纹波,以及稳压器开关元件产生的瞬态电压尖峰。若不经滤波,噪声会产生EMI,从而影响靠近稳压器的敏感芯片。

 

虽然使用输入和输出滤波电路等成熟设计技术可降低EMI,但也需要借助大容量电容器来解决瞬态尖峰和纹波问题,同时还会产生较大耗散功率,导致元器件过热。

 

不过,工程师现可使用采用各种内置技术的新一代模块化开关稳压器,来减小电压和电流纹波以及瞬态尖峰,甚至在添加滤波电路前就可以抑制EMI。通过在设计中使用这些稳压器,工程师能缩小输入和输出端的大容量电容器尺寸,从而缩小滤波电路的尺寸并降低成本。




免责声明:本文转载自“张国斌”,本文仅代表作者个人观点,不代表萨科微及行业观点,只为转载与分享,支持保护知识产权,转载请注明原出处及作者,如有侵权请联系我们删除。

公司电话:+86-0755-83044319
传真/FAX:+86-0755-83975897
邮箱:1615456225@qq.com
QQ:3518641314 李经理  

QQ:202974035   陈经理

地址:深圳市龙华新区民治大道1079号展滔科技大厦C座809室

北斗/GPS天线咨询

板端座子咨询

连接器咨询

获取产品资料